
PDF Publication Title:
Text from PDF Page: 188
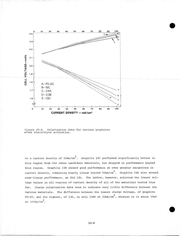
0 10 20 30 40 50 60 70 80 90 100 A-PG-60 B-19C C-24A D-23B E-13D CURRENT DENSITY —mA/cm2 Figure 35-4. Polarization data for various graphites after electrolyte activation. 2 to a current density of 50itiA/cm . Graphite 19C performed significantly better in this region than the other candidate materials, but dropped in performance beyond this region. Graphite 23B showed good performance at even greater excursions in 2 current density, remaining nearly linear beyond 50mA/cm . Graphite 24A also showed near-linear performance, as did 13D. The latter, however, achieved the lowest vol tage values in all regions of current density of all of the materials tested thus far. Chargepolarizationdataseemtoindicateverylittledifferencebetweenthe various materials. The difference between the lowest charge voltage, of graphite 2 PG-60, and the highest, of 13D, is only 15mV at 50mA/cm , whereas it is about 55mV 2 at lOOmA/cm . 35-6PDF Image | Development of the Zinc-Chlorine Battery for Utility
PDF Search Title:
Development of the Zinc-Chlorine Battery for UtilityOriginal File Name Searched:
6302789.pdfDIY PDF Search: Google It | Yahoo | Bing
Salgenx Redox Flow Battery Technology: Power up your energy storage game with Salgenx Salt Water Battery. With its advanced technology, the flow battery provides reliable, scalable, and sustainable energy storage for utility-scale projects. Upgrade to a Salgenx flow battery today and take control of your energy future.
| CONTACT TEL: 608-238-6001 Email: greg@salgenx.com | RSS | AMP |