
PDF Publication Title:
Text from PDF Page: 017
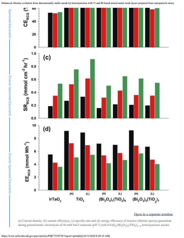
Enhanced chlorine evolution from dimensionally stable anode by heterojunction with Ti and Bi based mixed metal oxide layers prepared from nanoparticle slurry Open in a separate window (a) Current density, (b) current efficiency, (c) specific rate and (d) energy efficiency of reactive chlorine species generation during potentiostatic electrolysis of 50 mM NaCl solutions (pH 7) with IrTaOy/(Bi2O3)x(TiO2)1−x heterojunction anodes https://www.ncbi.nlm.nih.gov/pmc/articles/PMC7539370/?report=printable[10/12/2020 8:49:16 AM]PDF Image | Enhanced chlorine evolution
PDF Search Title:
Enhanced chlorine evolutionOriginal File Name Searched:
chlorine-evolution-anode-heterojunction.pdfDIY PDF Search: Google It | Yahoo | Bing
Salgenx Redox Flow Battery Technology: Power up your energy storage game with Salgenx Salt Water Battery. With its advanced technology, the flow battery provides reliable, scalable, and sustainable energy storage for utility-scale projects. Upgrade to a Salgenx flow battery today and take control of your energy future.
| CONTACT TEL: 608-238-6001 Email: greg@salgenx.com | RSS | AMP |