
PDF Publication Title:
Text from PDF Page: 036
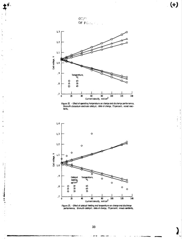
.. 0 20 40 60 80 100 12G 140 Curreat density. m ~ l c m ~ Figure22 -Effectofoperatingtemperatureonchargeanddischaroeperformance. Bismuth chromium electrooe catalkst: state of charge. 75 percent: mhed reac- lants. .7 IIII I1 0 20 40 60 80 10 120 140 Current density, m ~ l c m ~ Figure23. -Effectofcatalystloadingandtemperatureonchargeanddischarge performance. Bismuth catalyst: state of charge. 75 percent: mixed reactants. Temperature. OcPDF Image | NASA Redox Storage System Development Project
PDF Search Title:
NASA Redox Storage System Development ProjectOriginal File Name Searched:
19850004157.pdfDIY PDF Search: Google It | Yahoo | Bing
Salgenx Redox Flow Battery Technology: Power up your energy storage game with Salgenx Salt Water Battery. With its advanced technology, the flow battery provides reliable, scalable, and sustainable energy storage for utility-scale projects. Upgrade to a Salgenx flow battery today and take control of your energy future.
| CONTACT TEL: 608-238-6001 Email: greg@salgenx.com | RSS | AMP |