
PDF Publication Title:
Text from PDF Page: 051
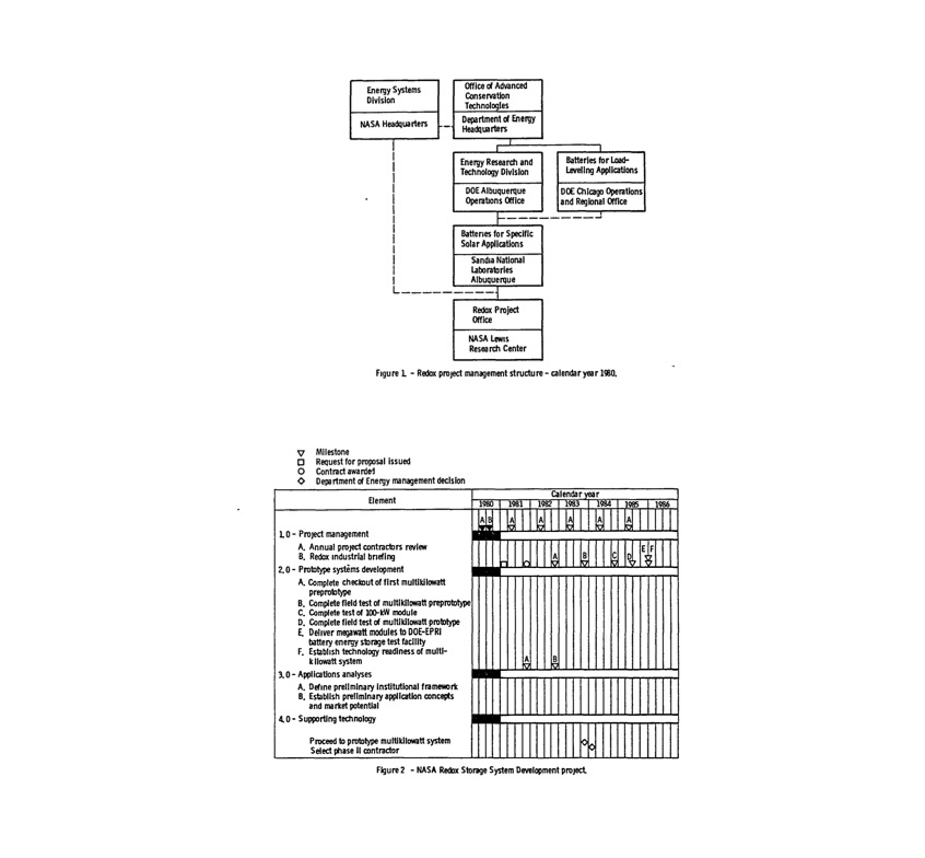
L 0 - Project management B. Redox mdustrlal briefing -III U EF Energy Systems Division NASA Headquarters 1 I I I I I Office cI Advanced ConseMtion Technologies Department cI Energy Headquarters Enel11Y Research and Technology Division DOE Albuquerque Operations Office Batteries for Load- leveling Applications DOE Chicago Operations and Regional OffIce 2.0- Prototype systems development A. Complete checkout of first multlJdlowaH preprototype B. Complete field test of multlkllowatt preprototype C. Complete test of lOO-kW moduIe D. Complete field test cI multlJdlowatt prototype E. DelivermegawattmodulestoDOE-EPRI battery enel11Y storage test facility F. Establish technology readiness of multi- kilowatt system 3.0- Applications analyses A. Defme preliminary Institutional framework B. Establish preliminary application concepts and market potential 4. 0 - Supporting technology Proceed to prototype multiJdlowatt system Select phase II contractor W I F---- I I I I I I Batteries for Specific Solar Applications Sandia National 14boratorles Albuquerque L _ _ _ _ _ ·----1 Redox Project Office NASA LewiS Research Center Figure L - Redox project management structure - calendar year I1J80. V Milestone [J Request for proposal Issued o Contract awa rde':! ¢ Depa rtment of Enel11Y management decision Element -BiY W W ~ ~ A. Annual project contractors review 1980T 1981 Calendar~ear 1982 1983 1984 1985 1986 Figure 2 - NASA Redox Storage System Development project AB A C 0 ~Itl ('i -PDF Image | NASA Redox Storage System Development Project 1980
PDF Search Title:
NASA Redox Storage System Development Project 1980Original File Name Searched:
19830006412.pdfDIY PDF Search: Google It | Yahoo | Bing
Salgenx Redox Flow Battery Technology: Power up your energy storage game with Salgenx Salt Water Battery. With its advanced technology, the flow battery provides reliable, scalable, and sustainable energy storage for utility-scale projects. Upgrade to a Salgenx flow battery today and take control of your energy future.
| CONTACT TEL: 608-238-6001 Email: greg@salgenx.com | RSS | AMP |