
PDF Publication Title:
Text from PDF Page: 015
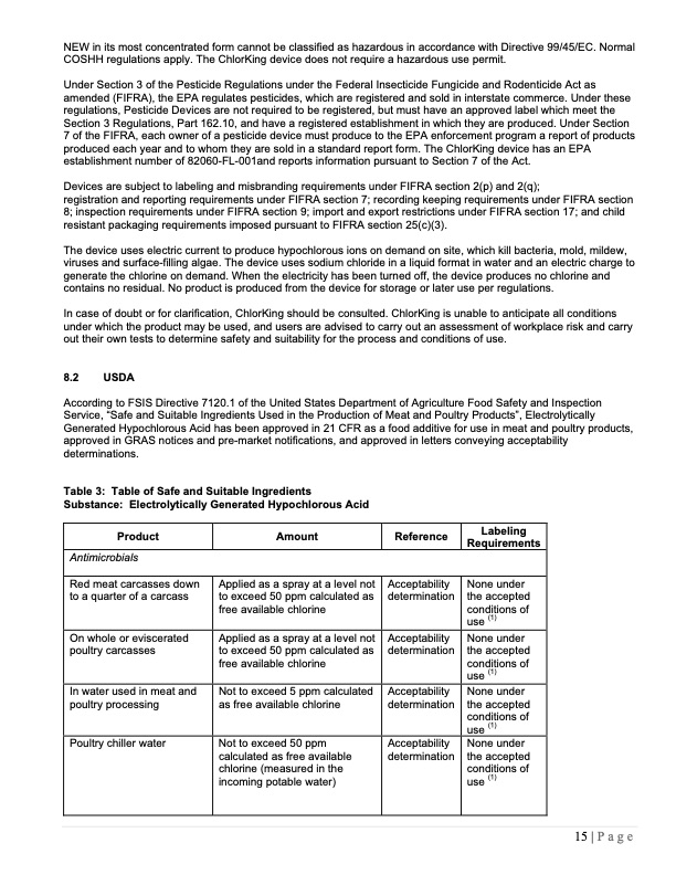
NEW in its most concentrated form cannot be classified as hazardous in accordance with Directive 99/45/EC. Normal COSHH regulations apply. The ChlorKing device does not require a hazardous use permit. Under Section 3 of the Pesticide Regulations under the Federal Insecticide Fungicide and Rodenticide Act as amended (FIFRA), the EPA regulates pesticides, which are registered and sold in interstate commerce. Under these regulations, Pesticide Devices are not required to be registered, but must have an approved label which meet the Section 3 Regulations, Part 162.10, and have a registered establishment in which they are produced. Under Section 7 of the FIFRA, each owner of a pesticide device must produce to the EPA enforcement program a report of products produced each year and to whom they are sold in a standard report form. The ChlorKing device has an EPA establishment number of 82060-FL-001and reports information pursuant to Section 7 of the Act. Devices are subject to labeling and misbranding requirements under FIFRA section 2(p) and 2(q); registration and reporting requirements under FIFRA section 7; recording keeping requirements under FIFRA section 8; inspection requirements under FIFRA section 9; import and export restrictions under FIFRA section 17; and child resistant packaging requirements imposed pursuant to FIFRA section 25(c)(3). The device uses electric current to produce hypochlorous ions on demand on site, which kill bacteria, mold, mildew, viruses and surface-filling algae. The device uses sodium chloride in a liquid format in water and an electric charge to generate the chlorine on demand. When the electricity has been turned off, the device produces no chlorine and contains no residual. No product is produced from the device for storage or later use per regulations. In case of doubt or for clarification, ChlorKing should be consulted. ChlorKing is unable to anticipate all conditions under which the product may be used, and users are advised to carry out an assessment of workplace risk and carry out their own tests to determine safety and suitability for the process and conditions of use. 8.2 USDA According to FSIS Directive 7120.1 of the United States Department of Agriculture Food Safety and Inspection Service, “Safe and Suitable Ingredients Used in the Production of Meat and Poultry Products”, Electrolytically Generated Hypochlorous Acid has been approved in 21 CFR as a food additive for use in meat and poultry products, approved in GRAS notices and pre-market notifications, and approved in letters conveying acceptability determinations. Table 3: Table of Safe and Suitable Ingredients Substance: Electrolytically Generated Hypochlorous Acid Product Amount Reference Antimicrobials Labeling Requirements Red meat carcasses down to a quarter of a carcass Applied as a spray at a level not to exceed 50 ppm calculated as free available chlorine Acceptability determination None under the accepted conditions of use (1) On whole or eviscerated poultry carcasses Applied as a spray at a level not to exceed 50 ppm calculated as free available chlorine Acceptability determination None under the accepted conditions of use (1) In water used in meat and poultry processing Not to exceed 5 ppm calculated as free available chlorine Acceptability determination None under the accepted conditions of use (1) Poultry chiller water Not to exceed 50 ppm calculated as free available chlorine (measured in the incoming potable water) Acceptability determination None under the accepted conditions of use (1) 15 | P a g ePDF Image | Neutral Electrolyzed Water
PDF Search Title:
Neutral Electrolyzed WaterOriginal File Name Searched:
Chlorking-Ver4-2-4-10.pdfDIY PDF Search: Google It | Yahoo | Bing
Salgenx Redox Flow Battery Technology: Power up your energy storage game with Salgenx Salt Water Battery. With its advanced technology, the flow battery provides reliable, scalable, and sustainable energy storage for utility-scale projects. Upgrade to a Salgenx flow battery today and take control of your energy future.
| CONTACT TEL: 608-238-6001 Email: greg@salgenx.com | RSS | AMP |